- Onkologische Therapie der alten Frau
Das Alter unserer gynäkologischen Patientinnen steigt stetig an. Aktuell liegt die durchschnittliche Lebenserwartung einer Frau in der Schweiz bei ca. 86 Jahren. Erreicht sie das
80. Lebensjahr ohne kompromittierende Nebendiagnosen, so hat sie gute Chancen, ein noch deutlich höheres Alter zu erreichen (1). Somit haben onkologische Erkrankungen und die damit verbundene Behandlung starken Einfluss auf die Lebensqualität und die noch verbleibende Lebenserwartung einer Patientin.
L’âge de nos patientes gynécologiques augmente continuellement. En Suisse, à l’heure actuelle, l’espérance de vie d’une femme se situe à env. 86 ans. Une femme qui arrive à 80 ans sans diagnostics accessoires compromettants, a de bonnes chances d’atteindre même un âge bien plus élevé (1). De ce fait, les affections oncologiques et les traitements qui en découlent influencent largement la qualité de vie d’une patiente et le nombre d’années qu’elle peut encore espérer de vivre.
Wir als behandelnde Ärztinnen sind plötzlich damit konfrontiert, Entscheidungen zu fällen, ob eine adäquate, teils belastende Therapie einer Patientin noch zugemutet werden kann oder ob der Weg der leitliniengerechten Behandlung aufgrund des Alters der Patientin verlassen werden muss. Plötzlich müssen wir uns Fragen stellen, die bei einer jungen Patientin gar nicht erst aufkommen: «Wie alt ist alt?», «Auf Grund welcher Aspekte treffen wir Therapieentscheidungen?», «Was soll die onkologische Therapie bewirken?», «Welche Evidenz haben wir für die Altersgruppe >65 Jahre bzw. >80 Jahre?» und letztendlich auch die volkswirtschaftlich und ethisch schwierige Frage «Unter welchen Bedingungen sollen die Kosten für eine teure onkologische Therapie bei Überschreiten der durchschnittlichen Lebenserwartung übernommen werden?».
Mammakarzinom
Die Behandlung des Mammakarzinoms der älteren Frau oder, deutlich seltener, des älteren Mannes stellt uns, wie manch anderes Karzinom im Alter, vor teilweise schwierige Entscheidungen, insbesondere wenn es sich nicht um ein kleines, Hormonrezeptor-positives Karzinom handelt. Je älter die Patientinnen, desto häufiger sind Co-Morbiditäten, welche die Entscheidungsfindung deutlich beeinflussen. Zum einen reduziert sich die Lebenserwartung bei einem Mammakarzinom und gleichzeitigem Vorliegen von Co-Morbiditäten um stattliche 50% (2), zum anderen steigt das Risiko von Nebenwirkungen und somit deutlicher Einschränkung der Lebensqualität hervorgerufen durch die onkologische Therapie.
Insgesamt treten 50% aller Mammakarzinome bei Frauen über 65 Jahre auf und das Risiko, an einem Mammakarzinom zu erkranken, steigt mit dem Alter. Während das Risiko bei 40-49 Lebensjahren noch bei 1:68 liegt, ist es bei 60-69 Lebensjahren schon bei 1:26. Ist eine Frau älter als 70 Jahre, liegt ihr Lifetime-Risiko sogar bei 1:8. Die «Standard»-Mammakarzinom-Patientin ist also nicht 35-50 Jahre alt, sondern 61 Jahre!
Ältere Frauen sind jedoch sehr oft von den üblichen adjuvanten Mammakarzinom-Studien ausgeschlossen, weswegen es keine gute Evidenz für die Behandlung in dieser Population gibt. Ausserdem sind die üblichen Online-Tools, wie z.B. Adjuvant Online!, nicht validiert für Frauen >69 Jahre und lassen relevante Komorbiditäten ausser Acht.
Gemäss Literatur erhalten ältere Patientinnen häufiger eine primäre endokrine Therapie ohne Operation oder direkt eine Mastektomie und seltener eine Radiotherapie nach brusterhaltender Operation (3).
Eine weitere Studie mit fast 50 000 Brustkrebspatientinnen zeigte, dass die Rate an adjuvanter Chemotherapie für das Mammakarzinom Stadium I-II, HR-negativ und nodal positiv bei den 67- bis 69-Jährigen bei 80% lag und bei den über 85-Jährigen nur noch <10% (4).
Zudem konnte gezeigt werden, dass das Risiko, am Mammakarzinom Stadium 1 und 2 zu versterben, bei den 85-89-Jährigen im Vgl. zu den 67-69-Jährigen höher liegt (hazard ratio 1.5, 95% Cl 1.3-1.7) (4, 5). Dies ist sicherlich auch damit zu begründen, dass höheres Alter meist weniger Therapie bedeutet, und die Karzinome wegen fehlendem Mammographiescreening ab 70 Jahre später entdeckt werden.
Die Entscheidung betreffend der Therapie des Mammakarzinoms der älteren Frau sollte individualisiert erfolgen und neben der Tumorbiologie und dem allgemeinen Gesundheitszustand auch die persönlichen Präferenzen der Patientin und allenfalls ihrer Familie miteinbeziehen. Das Alter alleine sollte nicht primär für eine Therapieentscheidung relevant sein.
Verschiedenste Tools und Assessments sind mittlerweile zur Standortbestimmung bei älteren Patientinnen verfügbar und in Studien getestet. So schätzt beispielsweise das Online Tool ePrognosis (6) die Lebenserwartung aufgrund verschiedenster Parameter ab. Dieses Tool wurde auch in einer Studie mit älteren Patientinnen mit frühen Mammakarzinom-Stadien untersucht (7). Da es das Mortalitätsrisiko ohne Karzinomerkrankung berechnet, kann es vor allem bei der Entscheidung über eine Chemotherapie hilfreich sein.
Anhand der vorliegenden Daten zeigt sich nämlich, dass bei Patientinnen über 65 Jahre das Risiko, aufgrund einer Nebenwirkung einer adjuvanten Chemotherapie hospitalisiert zu werden, mehr als doppelt so hoch ist als bei den jüngeren Frauen (8). Der Chemo-Toxicity Calculator (www.mycarg.org, Copyright © 2020 Cancer and Aging Research Group) könnte in Zukunft auch ein nützliches Tool sein, da er sich auf die Berechnung der Wahrscheinlichkeit von Grad 3-5 Toxizitäten während der Chemotherapie bei älteren Patienten spezialisiert (9). Andere Modelle zur Voraussage der Chemotherapietoxizität werden aktuell in Studien erarbeitet und/oder getestet (10).
Eine prätherapeutische geriatrische Standortbestimmung ist ebenfalls sehr hilfreich. Auch hier gibt es verschiedenste Fragebogen, auf welche wir später noch eingehen werden.
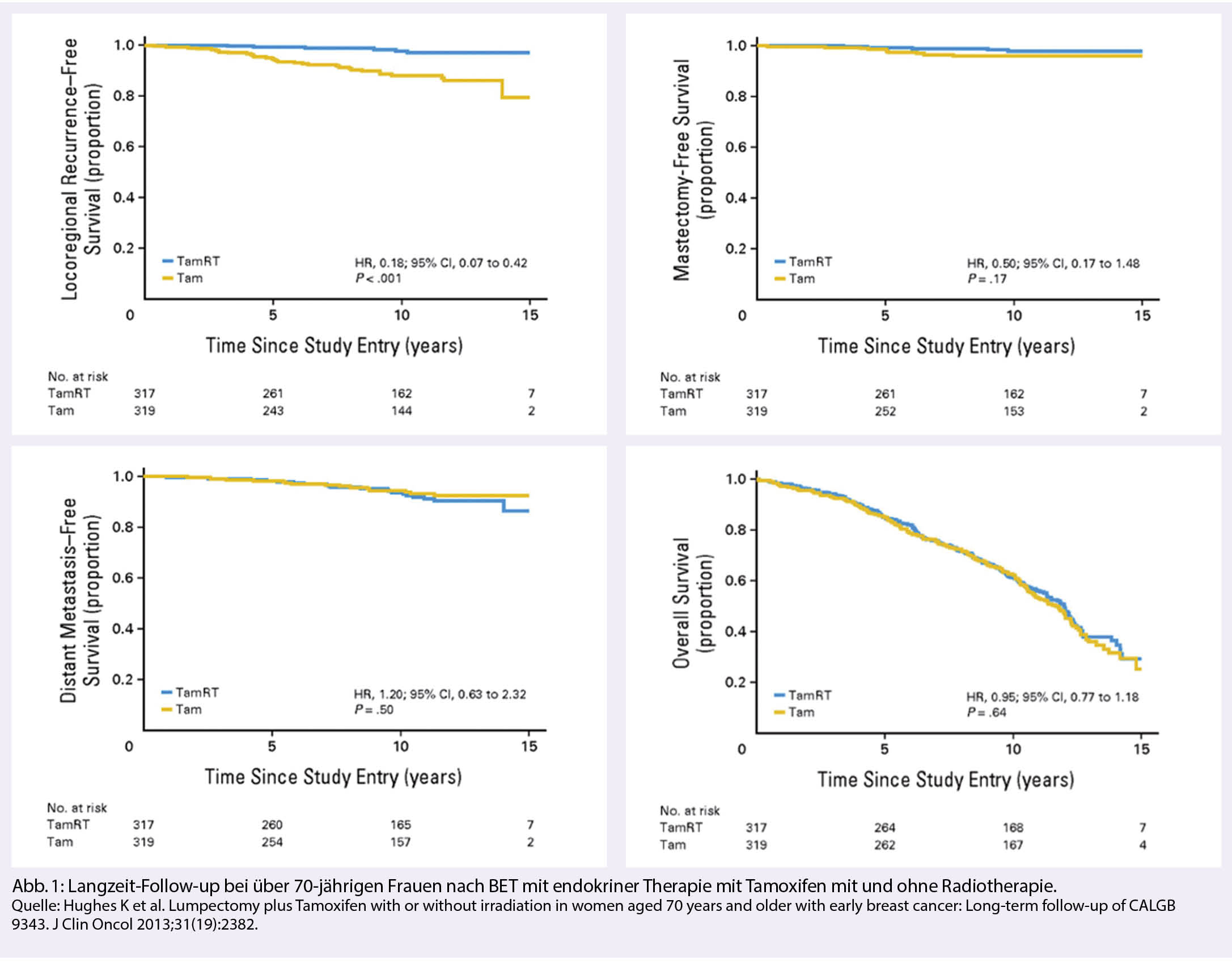
Gemäss den aktuellen Empfehlungen soll die Behandlung des Mammakarzinoms der älteren Frau, welche sich in einem guten Allgemeinzustand befindet, analog der Behandlung der jüngeren Frau erfolgen. Die chirurgische Therapie sollte gemäss den aktuellen Leitlinien erfolgen, wobei aber ein axilläres Staging nur empfohlen ist, wenn es einen Einfluss auf die Nachbehandlung hat. Da mit dem Alter das Risiko eines Lokalrezidives sinkt, kann unter folgenden Bedingungen auf eine Radiotherapie verzichtet werden: Alter >70 Jahre, T1-Tumor, ER positiv, cN0 oder pN0, compliant für endokrine Therapie (Abb. 1) (11). Eine Alternative zur herkömmlichen Radiotherapie kann das hypofraktionierte Schema mit 15-16 Sitzungen sein. Auch die Indikation zur Chemotherapie soll in Analogie zu jüngerem Alter erfolgen. Der Benefit einer Chemotherapie ist identisch bei der älteren Altersgruppe, wobei aber die Toxizität, wie bereits erwähnt, bis zu 10-fach höher liegt. Alternative Chemotherapie-Regimes zu einer Anthrazyklin-haltigen Chemotherpie sind z.B. Docetaxel/Cyclophosphamid (TC), orales CMF oder eventuell Capecitabine. Ist die Patientin über 70 Jahre alt, wird eine primäre Prophylaxe der febrilen Neutropenie mit G-CSF empfohlen.
Bei der älteren Mammakarzinom-Patientin in einem reduzierten Allgemeinzustand bzw. mit relevanten Co-Morbiditäten, ist, falls möglich, die Chirurgie der medikamentösen Therapie vorzuziehen. Das Rezidivrisiko ist nach Chirurgie mit oder ohne adjuvanter endokriner Therapie deutlich kleiner als nach alleiniger endokriner Therapie (12, 13).
Eine adjuvante Nachbehandlung, ausser der endokrinen Therapie, ist insbesondere bei erniedrigter Lebenserwartung und zu erwartender hoher Toxizität nicht empfohlen.
Ist eine chirurgische Therapie nicht möglich oder nicht gewollt, sind folgende Vorgehen empfohlen: Beim ER-positiven Karzinom eine primär endokrine Therapie, beim ER-negativen Karzinom eine single-agent Chemotherapie in Analogie zur metastatischen Situation, beim Her-2-positiven Karzinom Trastuzumab mit/ohne Chemotherapie analog einer metastatischen Situation oder alternativ eine rein supportive Therapie. Eine primäre Radiotherapie sollte im Falle einer nicht möglichen chirurgischen Therapie rein palliativ aufgrund von Resistenz auf die primäre endokrine Therapie bzw. von lokalem Progress erfolgen.
Gynäkologische Tumore
Die Diagnose eines Ovarial- oder Endometriumkarzinomes wird häufig im höheren Alter gestellt und dann nicht selten in einem fortgeschrittenen Stadium. So ist die Inzidenz des Ovarialkarzinoms in der Altersgruppe der 75- bis 79-Jährigen am höchsten. Entgegen der oftmals verbreiteten Meinung, dass es sich im Alter um weniger aggressive Tumoren handle, zeigt sich gerade bei älteren Patientinnen mit diesen Karzinomen häufig sogar eine aggressivere Tumorbiologie (14, 15).
Ovarialkarzinom
Bezüglich des Ovarialkarzinoms ist das Tumordebulking mit möglichst R0-Resektion, gefolgt von einer platinhaltigen Chemotherapie, seit Langem die leitliniengerechte Therapie. Eine Studie aus Frankreich zeigte jedoch, dass lediglich rund die Hälfte aller Patientinnen älter als 70 Jahre eine adäquate operative und systemische Therapie erhalten haben (16). In dieser Metaanalyse von 2007 wurde gezeigt, dass in einzelnen Kohorten fast die Hälfte aller Patientinnen >80 Jahre keine Chemotherapie erhielten, in der Gruppe >65 Jahre waren es lediglich ein Viertel (17). Dies mit der entsprechend negativen Auswirkung auf die Mortalität. Oftmals zeigt sich die Nachbehandlung bei älteren Patientinnen nicht adäquat: eine adjuvante Chemotherapie beginnt aufgrund von postoperativen Komplikationen verzögert oder wird aufgrund von Toxizität vorzeitig abgebrochen. Es zeigte sich, dass eine vermehrte Rate an Komplikationen mit erhöhter Krebsmortalität assoziiert ist: bei zwei oder mehr postoperativen Komplikationen oder Verzögerung des Beginns der adjuvanten Chemotherapie erhöht sich das Risiko, am Ovarialkarzinom zu versterben, um 30% (18). Eine retrospektive Kohortenstudie in den USA von 7938 Frauen älter als 65 Jahre zeigte, dass das alleinige Tumordebulking ohne nachfolgende Chemotherapie den gleichen Outcome bezüglich Survival hatte wie rein supportive Massnahmen. Die alleinige Chemotherapie führte zu einem Survival Benefit von 14.4 Monaten, während die optimale Therapie ein medianes Überleben von 39 Monaten zeigte (19).
Die bei älteren Frauen mit FIGO III Karzinom häufiger durchgeführte neoadjuvante Chemotherapie hat somit durchaus ihre Berechtigung, jedoch nur mit optimalem Resultat, wenn diese Patientinnen in der Folge auch dem Intervalldebulking zugeführt werden. Wenn jedoch nach der systemischen Therapie keine anschliessende Operation durchgeführt wird oder werden kann, wirkt sich dies für die Patientinnen nachteilig aus (20).
Endometriumkarzinom
Auch beim Endometriumkarzinom wird eine Untertherapie bei älteren Patientinnen häufiger beobachtet, obwohl die Mehrheit der Patientinnen minimalinvasiv operiert werden kann. Die systematische pelvine und paraaortale Lymphonodektomie mit der damit verbundenen Morbidität wurde insbesondere bei den nicht high-risk Histologien mittlerweile durch das Sentinel-Verfahren zunehmend abgelöst. Ein nodales Staging soll aber nur indiziert werden, wenn eine adjuvante Systemtherapie oder Radiotherapie in der Folge auch durchgeführt werden würde. In Bezug auf adjuvante Behandlungen zeigte sich ebenfalls, dass bei betagteren Patientinnen diese signifikant seltener durchgeführt werden, was Auswirkungen auf die Rezidivrate und die Mortalität zeigt (14, 15) und als negativer prognostischer Faktor gilt (14).
In der prätherapeutischen Tumorboard-Besprechung ist es von essentieller Bedeutung, dass der Alterszustand einer Patientin durch eine onkologisch erfahrene ÄrztIn eingeschätzt wird, welche sie persönlich kennt und das Gremium bezüglich individueller Risiken und Nutzen von Behandlungsstrategien wie auch Behandlungswünschen der Patientin beraten kann. Dabei können geriatrische Assessments hilfreich sein. Präoperativ diejenigen Patientinnen herauszufiltern, welche ein erhöhtes Risiko für schwerwiegende Komplikationen aufweisen und welche nicht fit genug sind, ein radikales Tumordebulking durchzustehen, ist essentiell. Das Gleiche gilt für Patientinnen, welche einer aggressiven Chemotherapie zugeführt werden sollen.
Eine deutsche Arbeitsgruppe konnte den prognostischen Nutzen des age-adjusted Charlson Comorbidity Index (ACCI) (Abb. 2
und 3) auf die postoperative Morbidität und das Overall-Survival bei Patientinnen mit fortgeschrittenem Ovarialkarzinom klar nachweisen (21). Residueller Tumor nach Debulking-Operation war in der Gruppe mit einem hohen ACCI-Score signifikant häufiger als in der Gruppe mit einem tiefen ACCI-Score. Das Gleiche gilt für die postoperativen Komplikationen sowie das Overall-Survival: ein hoher ACCI-Score ist mit mehr Komplikationen sowie einem geringeren Overall-Survival assoziiert.

In der prospektiven multizentrischen Kohortenstudie ONCODAGE konnte gezeigt werden, dass der G8 geriatric questionaire (Abb. 4) mit guter Sensitivität aktuell eines der besten Screening-Tools ist, um Patientinnen zu identifizieren, welche von einer geriatrischen Einschätzung profitieren (22) und die behandelnden Ärzte eine maximale Therapie möglicherweise nochmalig überdenken lassen sollte. Das Erfassen des G8 dauert ungefähr 5 Minuten und kann sowohl durch den Arzt als auch durch Pflegefachpersonal oder wissenschaftliche Mitarbeiter erfasst werden. Er lässt sich einfach in die tägliche praktische Tätigkeit integrieren und kann so in der Beurteilung bezüglich Morbidität im Rahmen einer Krebsbehandlung hilfreich sein.

Wünschenswert wäre es, mit Hilfe solcher Assessment-Tools sowie weiterer Forschung die prätherapeutischen Prozesse so zu verfeinern, dass jede Patientin – insbesondere die ältere und alte Frau – die für sie optimale Therapie erhält, welche sowohl ihre individuellen Risikofaktoren als auch Ressourcen berücksichtigt, und ihr trotz Co-Morbiditäten eine möglichst leitliniengerechte Behandlung ermöglicht. Somit könnten unsere Patientinnen an den Tumorboards objektiver beurteilt und es könnte eine individualisierte Therapieempfehlung abgegeben werden.
Copyright bei Aerzteverlag medinfo AG
Bei diesem Artikel handelt es sich um einen Zweitabdruck des in info@gynäkologie 06-2020 erschienen Originalartikels.
Frauenklinik Stadtspital Waid und Triemli Zürich
Birmensdorferstrasse 497
8063 Zürich
Frauenklinik Stadtspital Waid und Triemli Zürich
Birmensdorferstrasse 497
8063 Zürich
Frauenklinik Stadtspital Waid und Triemli Zürich
Birmensdorferstrasse 497
8063 Zürich
Die Autorinnen haben im Zusammenhang mit diesem Artikel keine Interessenskonflikte deklariert.
◆ Bei älteren Patientinnen ist eine onkologische Untertherapie aufgrund von postoperativen Komplikationen mit damit verbundenem verspätetem Beginn einer adjuvanten Therapie oder vorzeitigem Therapieabbruch wegen Toxizitäten häufiger zu beobachten als bei jüngeren Frauen, was sich nachteilig auf die Prognose auswirkt.
◆ Bei der älteren Patientin sollte eine individualisierte Karzinomtherapie unter Einbezug des Gesundheitszustandes mit Zuhilfenahme der aktuell verfügbaren Tools und Assessments erfolgen.
◆ Die Behandlung des Mammakarzinoms bei der Seniorin in einem guten Allgemeinzustand erfolgt analog der Behandlung der jüngeren Patientin.
◆ Beim Ovarialkarzinom FIGO III-IV bei älteren Patientinnen muss die Indikation zum primären Tumordebulking vorsichtig gestellt werden, damit die im Anschluss notwendige Chemotherapie nicht wegen postoperativen Komplikationen deutlich verzögert oder gar nicht durchgeführt werden kann.
◆ Beim Endometriumkarzinom ist auch bei alter Patientin nach Möglichkeit die minimal-invasive Hysterektomie mit Adnexektomie die Therapie der Wahl. Ein nodales Staging soll nur durchgeführt werden, wenn weitere adjuvante Therapien in Frage kommen würden.
Messages à retenir
◆ Chez la patiente plus âgée, un sous-traitement oncologique s’observe plus souvent que chez la patiente plus jeune, notamment en raison de complications post-opératoires retardant le début du traitement adjuvant ou de toxicités provoquant un arrêt prématuré du traitement. Ceci péjore le pronostic.
◆ Chez la patiente plus âgée le traitement oncologique devrait être individualisé et prendre en considération son état de santé global, en utilisant les tools et assessments actuellement disponibles.
◆ La prise en charge du cancer du sein chez la patiente plus âgée en bon état général est comparable à celle de la patiente plus jeune.
◆ En cas de cancer de l’ovaire du stade FIGO III – IV, le debulking maximal primaire doit être indiqué avec prudence. Il s’agit d’éviter des complications postop. qui retarderaient de manière importante – ou rendraient même impossible – le début de la chimiothérapie.
◆ En cas de cancer de l’endomètre, la thérapie de premier choix chez la patiente plus âgée est, pour autant que possible, l’hystérectomie mini-invasive avec annexectomie bilatérale. Une lymphadénectomie devrait seulement être indiquée si un traitement adjuvant postop. était réellement envisagé.
1. Bundesamt für Statistik BFS – BEVNAT, STATPOP, ESPOP.
2. Extermann M, Aapro M. Assessment of the older cancer patient. Hematol Oncol Clin North Am 2000; 14:63.
3. Bastiaannet E, Liefers GJ, de Craen AJ, et al. Breast cancer in elderly compared to younger patients in the Netherlands: stage at diagnosis, treatment and survival in 127,805 unselected patients. Breast Cancer Res Treat 2010; 124:801.
4. Schonberg MA, Marcantonio ER, Li D, et al. Breast cancer among the oldest old: tumor characteristics, treatment choices, and survival. J Clin Oncol 2010; 28:2038.
5. van de Water W, Markopoulos C, van de Velde CJ, et al. Association between age at diagnosis and disease-specific mortality among postmenopausal women with hormone receptor-positive breast cancer. JAMA 2012; 307:590.
6. Suemoto CK, Ueda P, Beltrán-Sánchez, Lebrão ML, Duarte YA, Wong R, Danaei G. Development and Validation of a 10-Year Mortality Prediction Model: Meta-Analysis of Individual Participant Data From Five Cohorts of Older Adults in Developed and Developing Countries. J Gerontol A Biol Sci Med Sci. 2016 Aug 13. pii: glw166.
7. Kimmick GG, Major B, Clapp J, et al. Using ePrognosis to estimate 2-year allcause mortality in older women with breast cancer: Cancer and Leukemia Group B (CALGB) 49907 and 369901 (Alliance A151503). Breast Cancer Res Treat 2017;163:391.
8. Barcenas CH, Niu J, Zhang N, et al. Risk of hospitalization according to chemotherapy regimen in early-stage breast cancer. J Clin Oncol 2014; 32:2010.
9. Hurria A, Togawa K, Mohile SG, et al. Predicting chemotherapy toxicity in older adults with cancer: a prospective multicenter study. J Clin Oncol 2011; 29:3457.
10. Extermann M, Boler I, Reich RR, et al. Predicting the risk of chemotherapy toxicity in older patients: the Chemotherapy Risk Assessment Scale for High-Age Patients (CRASH) score. Cancer 2012; 118:3377.
11. Hughes K. et al. Lumpectomy plus Tamoxifen with or without irradiation in women aged 70 years or older with early breast cancer: Long-term follow-up of CALGB 9343. J Clin Oncol 2013; 31 (19): 2382).
12. Hind D, Wyld L, Beverley CB, Reed MW. Surgery versus primary endocrine therapy for operable primary breast cancer in elderly women (70 years plus). Cochrane Database Syst Rev 2006;CD004272.
13. Hind D, Wyld L, Reed MW. Surgery, with or without tamoxifen, vs tamoxifen alone for older women with operable breast cancer: cochrane review. Br J Cancer 2007; 96:1025.
14. Poupon C et al. Management and Survival of Elderly and Very Elderly Patients with Endometrial Cancer: An Age-Stratified Study of 1228 Women from the FRANCOGYN Group. Ann Surg Oncol. 2017 Jun;24(6):1667-1676.
15. Koual, M et al. Endometrial cancer in the elderly – does age influence surgical treatments, outcomes, and prognosis? Menopause: September 2018 – Volume 25 – Issue 9 – p 968-976.
16. Fourcadier, E et al. Under-treatment of elderly patients with ovarian cancer: a population based study. BMC Cancer 15, 937 (2015).
17. Bouchardy C. et al. Older Female Cancer Patients: Importance, Causes, and Consequences of Undertreatment. J Clin Oncol. 2007 May 10;25(14):1858-69.
18. Wright JD, Effect of radical cytoreductive surgery on omission and delay of chemotherapy for advanced ovarian cancer. Obstet Gynecol 2012; 120:871.
19. Lin JJ et al. Ovarian Cancer Treatment and Survival Trends Among Women Older Than 65 Years of Age in the United States, 1995 -2008. Obstet Gynecol 2016 Jan;127(1):81-9.
20. Klein DA et al. Chemotherapy alone for patients 75 years and older with epithelial ovarian cancer – is interval cytoreductive surgery still needed? AJOG, February 2020 Volume 222, Issue 2, Pages 170.el-170.
21. Kahl A et al. Prognostic Value of the Age-Adjusted Charlson Comorbidity Index (ACCI) on Short- and Long-Term Outcome in Patients with Advanced Primary Epithelial Ovarian Cancer. Ann Surg Oncol (2017) 24:3692-3699.
22. Soubeyran P et al. (2014) Screening for Vulnerability in Older Cancer Patients: The ONCODAGE Prospective Multicenter Cohort Study. PLoS ONE 9(12): e115060. doi:10.1371/journal.pone.0115060.
info@onco-suisse
- Vol. 11
- Ausgabe 3
- Juni 2021









